logo
  • Sezioni

    • Cronaca

    • Politica

    • Sanità

    • Ambiente

    • Società

    • Cultura

    • Economia e lavoro

    • Eventi

    • Sport

  • Streaming

    • LaC TV 

    • Lac Network

    • LaC OnAir 

  • LaC Network 

    • lacplay.it

    • lactv.it

    • laconair.it

    • lacitymag.it

    • ilreggino.it

    • cosenzachannel.it

    • ilvibonese.it

    • catanzarochannel.it

    • lacapitalenews.it 

  • App

    • Android

    • Apple

    Social
    • Cronaca

    • Politica

    • Sanità

    • Ambiente

    • Società

    • Cultura

    • Economia e lavoro

    • Sport

    • Sezioni
      • Cronaca

      • Politica

      • Sanità

      • Ambiente

      • Società

      • Cultura

      • Economia e lavoro

      • Eventi

      • Sport

    • Streaming
      • LaC TV 

      • Lac Network

      • LaC OnAir 

    • LaC Network 
      • lacplay.it

      • lactv.it

      • laconair.it

      • lacitymag.it

      • ilreggino.it

      • cosenzachannel.it

      • ilvibonese.it

      • catanzarochannel.it

      • lacapitalenews.it 

    • App
      • Android

      • Apple

    Social
      Home page>Politica>Via libera dalla Regione...

      Via libera dalla Regione al piano di dimensionamento scolastico della Città metropolitana - L'ELENCO DEFINITIVO

      Nel Reggino soppresse 17 autonomie. La vice presidente con delega al ramo Giusi Princi: «Salvaguardate le aree interne»
      Redazione
      16 dicembre 202310:10
      1 of 13
      gallery image

      Via libera dalla Regione al piano di dimensionamento scolastico della Città metropolitana - L'ELENCO DEFINITIVO

      Via libera dalla Regione al piano di dimensionamento scolastico della Città metropolitana - L'ELENCO DEFINITIVO
      gallery image

      Via libera dalla Regione al piano di dimensionamento scolastico della Città metropolitana - L'ELENCO DEFINITIVO

      Via libera dalla Regione al piano di dimensionamento scolastico della Città metropolitana - L'ELENCO DEFINITIVO
      gallery image

      Via libera dalla Regione al piano di dimensionamento scolastico della Città metropolitana - L'ELENCO DEFINITIVO

      Via libera dalla Regione al piano di dimensionamento scolastico della Città metropolitana - L'ELENCO DEFINITIVO
      gallery image

      Via libera dalla Regione al piano di dimensionamento scolastico della Città metropolitana - L'ELENCO DEFINITIVO

      Via libera dalla Regione al piano di dimensionamento scolastico della Città metropolitana - L'ELENCO DEFINITIVO
      gallery image

      Via libera dalla Regione al piano di dimensionamento scolastico della Città metropolitana - L'ELENCO DEFINITIVO

      Via libera dalla Regione al piano di dimensionamento scolastico della Città metropolitana - L'ELENCO DEFINITIVO
      gallery image

      Via libera dalla Regione al piano di dimensionamento scolastico della Città metropolitana - L'ELENCO DEFINITIVO

      Via libera dalla Regione al piano di dimensionamento scolastico della Città metropolitana - L'ELENCO DEFINITIVO
      gallery image

      Via libera dalla Regione al piano di dimensionamento scolastico della Città metropolitana - L'ELENCO DEFINITIVO

      Via libera dalla Regione al piano di dimensionamento scolastico della Città metropolitana - L'ELENCO DEFINITIVO
      gallery image

      Via libera dalla Regione al piano di dimensionamento scolastico della Città metropolitana - L'ELENCO DEFINITIVO

      Via libera dalla Regione al piano di dimensionamento scolastico della Città metropolitana - L'ELENCO DEFINITIVO
      gallery image

      Via libera dalla Regione al piano di dimensionamento scolastico della Città metropolitana - L'ELENCO DEFINITIVO

      Via libera dalla Regione al piano di dimensionamento scolastico della Città metropolitana - L'ELENCO DEFINITIVO
      gallery image

      Via libera dalla Regione al piano di dimensionamento scolastico della Città metropolitana - L'ELENCO DEFINITIVO

      Via libera dalla Regione al piano di dimensionamento scolastico della Città metropolitana - L'ELENCO DEFINITIVO
      gallery image

      Via libera dalla Regione al piano di dimensionamento scolastico della Città metropolitana - L'ELENCO DEFINITIVO

      Via libera dalla Regione al piano di dimensionamento scolastico della Città metropolitana - L'ELENCO DEFINITIVO
      gallery image

      Via libera dalla Regione al piano di dimensionamento scolastico della Città metropolitana - L'ELENCO DEFINITIVO

      Via libera dalla Regione al piano di dimensionamento scolastico della Città metropolitana - L'ELENCO DEFINITIVO
      gallery image

      Via libera dalla Regione al piano di dimensionamento scolastico della Città metropolitana - L'ELENCO DEFINITIVO

      Via libera dalla Regione al piano di dimensionamento scolastico della Città metropolitana - L'ELENCO DEFINITIVO

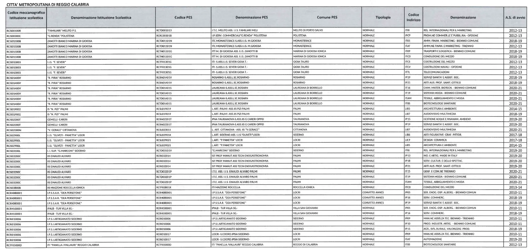
      Recepito dalla Regione Calabria il Piano approvato dalla Città Metropolitana di Reggio Calabria, acquisendo tutte le variazioni richieste relativamente alla riorganizzazione dell’I. I.S “Umberto Zanotti Bianco” per cui si esprime parere favorevole all’accorpamento della sezione di Monasterace diurna ad indirizzo artistico con I.P.S.S.A.R. “Dea Persefone” e la sezione serale di Monasterace ad indirizzo commerciale con l’I. I. SUP. “G. Marconi” Siderno; nella programmazione dell’offerta formativa del Liceo Classico-Artistico “Oliveti-Panetta” si autorizza sia l’indirizzo LIA9 “Design – Metalli Oreficeria e Coralli” che l’indirizzo L 100 “Liceo artistico – Biennio Comune”; Per l’Istituto “Enrico Fermi” si autorizza la richiesta di autorizzazione dell’indirizzo ITET “Elettrotecnica”. Si segnala, altresì, che su richiesta dell’USR, è stata rivista la denominazione di alcune istituzioni scolastiche derivanti dalle operazioni di riorganizzazione.

      Princi: «Sono stati indubbiamente mesi intensi e non facili»

      «La Giunta regionale della Calabria ha approvato il piano di dimensionamento scolastico per l’anno 2024/25. Un’operazione di razionalizzazione della rete che ha registrato, sin dalle fasi preliminari, il coinvolgimento responsabile di tutti gli enti: Regione, Ufficio scolastico regionale della Calabria, Organizzazioni sindacali di categoria, Province e Città metropolitana di Reggio Calabria».  È quanto afferma la vice presidente della Regione Calabria con delega al ramo, Giusi Princi.

      «Sono stati indubbiamente mesi intensi e non facili. Da criteri del Pnrr – spiega la vicepresidente -, sono state infatti 79 le autonomie che la Calabria ha dovuto ridurre. Un numero elevato perché, rispetto ad altre regioni d’Italia che hanno effettuato ridimensionamenti ogni due anni, in Calabria l’ultimo risale al 2012. Nei criteri di predisposizione dei piani provinciali proposti dalla Regione, che abbiamo fortemente voluto con il presidente Occhiuto, è stato evidenziato di salvaguardare le aree interne e i comuni isolati. Le linee di indirizzo regionali, a differenza di quelle di altre regioni non hanno previsto, infatti, un tetto minimo o massimo di studenti ai fini del mantenimento dell’autonomia scolastica, ma hanno indirizzano le Province a mantenere le dirigenze scolastiche e, quindi, le autonomie nelle aree interne o, in ogni caso, in quei territori laddove sono maggiori le situazioni di disagio socio economico. Agli enti provinciali è stato fornito dalla Regione un prezioso strumento che è l’Osservatorio per il diritto allo studio, attraverso cui è stato possibile avere una lettura georeferenziata dei territori con l’esatta mappatura delle zone più critiche, cosiddette da ‘’bollino rosso’. Questo ha permesso alle Province di mantenere l’autonomia scolastica in istituti, collocati in aree interne, con appena 300 studenti. Parallelamente alla razionalizzazione della rete, è stata aggiornata l’offerta formativa con autorizzazione di nuovi indirizzi di studio coerenti alle vocazioni dei territori e a prospettive lavorative e di sviluppo delle aree di riferimento». 

      «La perdita dell’autonomia – chiarisce inoltre Princi – non comporterà la chiusura dei plessi scolastici che continueranno ad operare nelle realtà in cui sono sempre stati, garantendo con il personale docente ed ata, i medesimi servizi agli studenti e alle famiglie».

      «Tanto è stato fatto, ma tanto si potrà ancora fare per migliorare il piano. Nei prossimi anni – aggiunge la vicepresidente -, essendo intervenuti in maniera poderosa in questa fase, potremo lavorare, d’intesa con gli enti tutti, con piccoli aggiustamenti alla rete scolastica, funzionali alle esigenze dei territori. Tengo a chiarire, che le parziali modifiche operate dalla Regione rispetto al piano deliberato dalle Province, sono state legate alla non coerenza con le linee guida e comunque a ciò che era stato già evidenziato, agli stessi enti, con dei rilievi. Anche in questo caso, le operazioni sono state concertate con gli stessi enti provinciali a cui la legge rimanda le prerogative di fusione e di aggregazione. È stata una sfida ardua che la Calabria ha percorso lavorando in anticipo e governando i processi anziché rischiare il commissariamento come si sta avvenendo altrove. Ringrazio tutti gli enti con cui ci si è confrontati intensamente lungo questi mesi, il Dipartimento istruzione nella persona della dirigente generale Maria Francesca Gatto e, soprattutto, della dirigente di settore, Anna Perani», conclude la vicepresidente Giusi Princi.

       

      Indirizzi formativi approvati – Città Metropolitana di Reggio Calabria

      Elenco Istituti invariati – Città metropolitana di Reggio Calabria

      continua …

      continua …

      continua …

      continua …

      continua …

      continua …

      continua …

      continua …

      continua …

      continua …

      Elenco indirizzi da sopprimere Città Metropolitana di Reggio Calabria

      1 of 13

      Tutti gli articoli di Politica

      ULTIMA ORA
      • - 11:06Corruzione all’ospedale di Locri, in abbreviato 15 condanne e un’assoluzione
      • - 10:59Scilla Mediterranea presenta esposto sul progetto “Impianto Edison–Favazzina”: segnalate irregolarità e rischi ambientali
      • - 10:23Reggio, “I Racconti della Cordigliera reggina” a Palazzo San Giorgio con la Fondazione Italo Falcomatà
      • - 09:12Reggio Calabria – Bova, il 7 dicembre l’ordinazione diaconale del seminarista Francesco Vadalà
      • - 07:55Amaro Dhelios, impresa a Montalto: vittoria al tie-break e prima gioia esterna
      • - 07:35La Dierre Reggio Calabria travolge Marsala e vola in vetta alla classifica
      • - 11:06Corruzione all’ospedale di Locri, in abbreviato 15 condanne e un’assoluzione
      • - 10:59Scilla Mediterranea presenta esposto sul progetto “Impianto Edison–Favazzina”: segnalate irregolarità e rischi ambientali
      • - 10:23Reggio, “I Racconti della Cordigliera reggina” a Palazzo San Giorgio con la Fondazione Italo Falcomatà
      • - 09:12Reggio Calabria – Bova, il 7 dicembre l’ordinazione diaconale del seminarista Francesco Vadalà
      • - 07:55Amaro Dhelios, impresa a Montalto: vittoria al tie-break e prima gioia esterna
      • - 07:35La Dierre Reggio Calabria travolge Marsala e vola in vetta alla classifica
      • - 11:06Corruzione all’ospedale di Locri, in abbreviato 15 condanne e un’assoluzione
      • - 10:59Scilla Mediterranea presenta esposto sul progetto “Impianto Edison–Favazzina”: segnalate irregolarità e rischi ambientali
      • - 10:23Reggio, “I Racconti della Cordigliera reggina” a Palazzo San Giorgio con la Fondazione Italo Falcomatà
      • - 09:12Reggio Calabria – Bova, il 7 dicembre l’ordinazione diaconale del seminarista Francesco Vadalà
      • - 07:55Amaro Dhelios, impresa a Montalto: vittoria al tie-break e prima gioia esterna
      • - 07:35La Dierre Reggio Calabria travolge Marsala e vola in vetta alla classifica
      Palazzo San Giorgio

      La mano tesa dall’opposizione salva una maggioranza monca e sfilacciata, ok all’assestamento di Bilancio e ai debiti. Ora tutti uniti per le Circoscrizioni

      Mattinata particolarmente movimentata in Consiglio comunale. I dissidenti dem non si presentano in aula e un ordine del giorno delle opposizioni continua a dare un senso ad una assemblea che soffre la crisi di rapporti tra Falcomatà e il Pd
      Claudio Labate
      La mano tesa dall’opposizione salva una maggioranza monca e sfilacciata, ok all’assestamento di Bilancio e ai debiti. Ora tutti uniti per le Circoscrizioni\n
      Lingua greca di Calabria

      Sportelli linguistici, Metrocity rettifica: reintegrati Bova e Condofuri

      Inviata oggi la nota di parziale rettifica alla determina che istituisce gli sportelli linguistici del progetto "La lingua greco-calabra: un balcone sul futuro" per l’annualità 2024. Fuori Bagaladi e Brancaleone e dentro Bova e Condofuri, inizialmente esclusi. Tutto chiarito, ma la vicenda apre il dibattito
      Silvio Nocera
      Sportelli linguistici, Metrocity rettifica: reintegrati Bova e Condofuri\n
      il confronto

      Olivicoltura in Calabria, Greco (Italia Viva) : «No a un testo che smantella la tutela del paesaggio»

      Serrato confronto in aula sulla modifica della Legge 48/2012. La consigliera regionale vota contro e denuncia criticità di metodo e di merito
      Redazione
      Olivicoltura in\u00A0Calabria, Greco (Italia Viva)\u00A0: «No a un testo che smantella la tutela del paesaggio»\n
      Richiesta di chiarimenti

      Scilla Mediterranea presenta esposto sul progetto “Impianto Edison–Favazzina”: segnalate irregolarità e rischi ambientali

      L’opposizione chiede l’intervento della Corte dei Conti e annuncia una segnalazione alla Commissione Europea: «Territorio fragile, servono trasparenza e verifiche rigorose»
      Redazione
      Scilla Mediterranea presenta esposto sul progetto “Impianto Edison–Favazzina”: segnalate irregolarità e rischi ambientali\n

      Video Consigliati

      VEDI TUTTI
      Economia e Lavoro

      Melito, Ponte di Pilati: approvato progetto fattibilità

      29 novembre 2025
      Ore 12:57
      Melito, Ponte di Pilati: approvato progetto fattibilità
      Cronaca

      Bovalino, assenteismo all'Asp: sette indagati

      29 novembre 2025
      Ore 13:00
      Bovalino, assenteismo all'Asp: sette indagati
      Cronaca

      Attentato a Gioia Tauro, la Sindaca scrive a Piantedosi

      28 novembre 2025
      Ore 19:43
      Attentato a Gioia Tauro, la Sindaca scrive a Piantedosi
      Sanità

      Un passo in piu, la Regione al fianco delle donne

      28 novembre 2025
      Ore 19:49
      Un passo in piu, la Regione al fianco delle donne
      Cronaca

      Attentato a Gioia Tauro, la Sindaca scrive a Piantedosi

      28 novembre 2025
      Ore 19:43
      Attentato a Gioia Tauro, la Sindaca scrive a Piantedosi
      Sanità

      Un passo in piu, la Regione al fianco delle donne

      28 novembre 2025
      Ore 19:49
      Un passo in piu, la Regione al fianco delle donne
      Economia e Lavoro

      Melito, Ponte di Pilati: approvato progetto fattibilità

      29 novembre 2025
      Ore 12:57
      Melito, Ponte di Pilati: approvato progetto fattibilità
      Cronaca

      Bovalino, assenteismo all'Asp: sette indagati

      29 novembre 2025
      Ore 13:00
      Bovalino, assenteismo all'Asp: sette indagati
      Cronaca

      Attentato a Gioia Tauro, la Sindaca scrive a Piantedosi

      28 novembre 2025
      Ore 19:43
      Attentato a Gioia Tauro, la Sindaca scrive a Piantedosi
      Sanità

      Un passo in piu, la Regione al fianco delle donne

      28 novembre 2025
      Ore 19:49
      Un passo in piu, la Regione al fianco delle donne
      Economia e Lavoro

      Melito, Ponte di Pilati: approvato progetto fattibilità

      29 novembre 2025
      Ore 12:57
      Melito, Ponte di Pilati: approvato progetto fattibilità
      Cronaca

      Bovalino, assenteismo all'Asp: sette indagati

      29 novembre 2025
      Ore 13:00
      Bovalino, assenteismo all'Asp: sette indagati
      la grande opera

      Ponte sullo Stretto, il tecnico del Mit: «Massima volontà di proseguire il progetto»

      Al Comune di Messina audito Rocco Finocchiaro: «Determinate ad iniziare tutte le opere propedeutiche alla realizzazione»
      Redazione
      29 novembre 2025
      Ore 19:03
      Ponte sullo Stretto, il tecnico del Mit: «Massima volontà di proseguire il progetto»\n
      l’inaugurazione

      Gallico-Gambarie, Cannizzaro: «L’inizio di una nuova vita per questo territorio»

      Il parlamentare reggino di Forza Italia: «Sin da subito al lavoro per questa montagna che ha segnato la storia di Reggio»
      Redazione
      29 novembre 2025
      Ore 17:39
      Gallico-Gambarie, Cannizzaro: «L’inizio di una nuova vita per questo territorio»\n
      diario della crisi

      Dalle buone intenzioni al fallimento della mediazione: salta l’accordo tra Falcomatà e il Partito democratico, mentre le forze politiche si compattano sulle Circoscrizioni

      Dopo il primo incontro, alla presenza del senatore Alfieri, qualcosa si è inceppato. I dem proseguono per la loro strada in qualche maniera sconfessando l’operato della segreteria nazionale. Gli altri gruppi non stanno a guardare e continuano a chiedere la verifica di maggioranza
      Claudio Labate
      29 novembre 2025
      Ore 17:00
      Dalle buone intenzioni al fallimento della mediazione: salta l’accordo tra Falcomatà e il Partito democratico, mentre le forze politiche si compattano sulle Circoscrizioni\n
      crisi a palazzo san giorgio

      Reggio, Rinascita Comune: «Subito un confronto con il Centrosinistra»

      Il capogruppo Quartuccio: «Nessun baratto con la proposta di una irrilevante redistribuzione delle deleghe all’interno dell’attuale squadra di governo»
      Redazione
      29 novembre 2025
      Ore 16:47
      Reggio, Rinascita Comune: «Subito un confronto con il Centrosinistra»\n
      Sud protagonista

      Il Sottosegretario Sbarra al convegno "Connessioni mediterranee" a Reggio Calabria

      «Il Mezzogiorno guida la crescita dell’Italia grazie alla visione strategica del Governo Meloni»
      Redazione
      29 novembre 2025
      Ore 15:49
      Il Sottosegretario Sbarra al convegno \"Connessioni mediterranee\" a Reggio Calabria\n
      La richiesta

      Reggio, Cardia: «Dopo le Circoscrizioni, subito il regolamento dei Comitati di Quartiere»

      Il consigliere sollecita la maggioranza a dare seguito alla proposta dei comitati, frutto di partecipazione civica, per rafforzare la democrazia e il coinvolgimento diretto dei cittadini nei quartieri
      Redazione
      29 novembre 2025
      Ore 14:31
      Reggio,\u00A0Cardia: «Dopo le Circoscrizioni, subito il regolamento dei Comitati di Quartiere»\n
      il confronto

      Il Circolo PD di Gioiosa Ionica: «Serve coraggio politico, la fusione dei Comuni non è più rinviabile»

      Appello dopo la nota della sindaca Fragomeni: «Strumento decisivo per superare i tagli e rafforzare i territori»
      Redazione
      29 novembre 2025
      Ore 09:38
      Il Circolo PD di Gioiosa Ionica: «Serve coraggio politico, la fusione dei Comuni non è più rinviabile»\n
      messaggi di solidarietà

      Assalto alla sede de La Stampa durante lo sciopero generale: irruzione di un centinaio di manifestanti e minacce ai giornalisti

      Condanna trasversale del mondo istituzionale. Occhiuto: «Solidarietà a Malaguti e alla redazione, intimidazione gravissima»
      Redazione
      29 novembre 2025
      Ore 09:24
      Assalto alla sede de La Stampa durante lo sciopero generale: irruzione di un centinaio di manifestanti e\u00A0minacce ai giornalisti\n
      Crisi a palazzo san Giorgio

      Reggio Calabria, Consiglio Comunale in diretta Facebook: attesa per la frattura tra Sindaco e PD

      Attesa per il Consiglio Comunale, i consiglieri dem intenzionati a disertare. Diretta facebook per la seduta
      Aldea Bellantonio
      29 novembre 2025
      Ore 08:06
      Reggio Calabria, Consiglio Comunale in diretta Facebook: attesa per la frattura tra Sindaco e PD\n
      GIovani e politica

      Giovani Democratici, il Circolo di Locri al Congresso nazionale di Napoli: nuova segreteria e nuovi delegati in Assemblea

      Arcidiacono rivendica il percorso del gruppo: «Cinque anni di lavoro senza sosta, ora ripartiamo con entusiasmo e visione sui temi della nostra generazione»
      Redazione
      28 novembre 2025
      Ore 20:38
      Giovani Democratici, il Circolo di Locri al Congresso nazionale di Napoli: nuova segreteria e nuovi delegati in Assemblea\n
      Premio “Welfare Oggi”

      Straface: «Modello Asp Reggio buona pratica da estendere ad altre realtà della Regione»

      L’assessore regionale elogia il progetto reggino, riconosciuto tra i migliori in Italia: «Sinergia, metodo e centralità della persona: così nasce un welfare che funziona»
      Redazione
      28 novembre 2025
      Ore 20:22
      Straface: «Modello Asp Reggio buona pratica da estendere ad altre realtà della Regione»\n
      Scuola e futuro

      Bova Marina, il Pd attacca: «Serve una visione, non gestione d'emergenza»

      I dem chiedono all’amministrazione comunale maggiore trasparenza, programmazione e partecipazione a bandi: «Il cambiamento non si proclama, si dimostra»
      Redazione
      28 novembre 2025
      Ore 19:11
      Bova Marina, il Pd attacca:\u00A0«Serve una visione, non gestione d'emergenza»\n
      condanna unanime

      Gioia Tauro, minoranza compatta dopo l’attacco in Comune: «Un gesto grave, nessuna divisione di fronte alla violenza»

      I consiglieri esprimono vicinanza al Sindaco e al personale: «Le istituzioni sono la casa di tutti, vanno difese insieme»
      Redazione
      28 novembre 2025
      Ore 18:49
      Gioia Tauro, minoranza compatta dopo l’attacco in Comune: «Un gesto grave, nessuna divisione di fronte alla violenza»\n
      L’opera

      Ponte di Pilati, il Comune di Melito approva il progetto di fattibilità: presto al via i cantieri e riapertura nel 2027

      Tre anni di rilievi, incarichi tecnici e atti amministrativi fino all’approvazione del progetto. Il sindaco Nastasi: «Abbiamo messo ordine e accelerato i tempi, ma la politica deve fare ammenda»
      Silvio Cacciatore
      28 novembre 2025
      Ore 18:30
      Ponte di Pilati, il Comune di Melito approva il progetto di fattibilità: presto al via i cantieri e riapertura nel 2027\n
      Agricoltura

      Olivicoltura calabrese, Giannetta: «Snellite le procedure per crescere: la Calabria può diventare leader nel Mediterraneo»

      Il capogruppo di Forza Italia punta su sburocratizzazione, recupero degli oliveti e competitività internazionale: «Patrimonio identitario e volano economico»
      Redazione
      28 novembre 2025
      Ore 18:02
      Olivicoltura calabrese, Giannetta: «Snellite le procedure per crescere: la Calabria può diventare leader nel Mediterraneo»\n
      A tu per tu

      Pazzano, la crisi in Comune e il futuro: «Pd tardivo su Falcomatà, ora bisogna ripartire da Circoscrizioni e istituti di partecipazione»

      Il consigliere comunale de “La Strada” affronta i nodi del dibattito politico cittadino, boccia le mosse dem e la gestione del primo cittadino, confermando il suo impegno in prima linea alle prossime comunali: «C'è una politica che si adagia, e c’è una burocrazia che crede di avere altri ritmi»
      Claudio Labate
      28 novembre 2025
      Ore 17:00
      Pazzano, la crisi in Comune e il futuro: «Pd tardivo su Falcomatà, ora bisogna ripartire da Circoscrizioni e istituti di partecipazione»\n
      Partito Democratico

      Sanità, Richichi (Pd): «L’accordo Calabria-Emilia chiude le porte ai pazienti: libertà di cura ridotta e stop ai medici fuori regione»

      Mobilità sanitaria limitata, intramoenia vietata e cure accessibili solo per poche patologie: una stretta bipartisan che rischia di colpire i malati calabresi
      Redazione
      28 novembre 2025
      Ore 16:46
      Sanità, Richichi (Pd): «L’accordo Calabria-Emilia chiude le porte ai pazienti: libertà di cura ridotta e stop ai medici fuori regione»\n
      La polemica

      Villa, la maggioranza respinge le accuse: «Variazioni di bilancio conformi e trasparenti»

      La maggioranza rivendica la correttezza degli atti contabili e la piena legittimità dell’iter amministrativo dopo il confronto con la minoranza
      Redazione
      28 novembre 2025
      Ore 16:19
      Villa, la maggioranza respinge le accuse: «Variazioni di bilancio conformi e trasparenti»\n
      la replica

      Regione, Giannetta: «Noi al governo per risolvere i problemi, unico a prendere in giro i calabresi è Tridico»

      Il capogruppo di Forza Italia a Palazzo Campanella: «Da Bruxelles pensa di "aiutare" la sua regione inviando un comunicato a settimana»
      Redazione
      28 novembre 2025
      Ore 15:56
      Regione, Giannetta: «Noi al governo per risolvere i problemi, unico a prendere in giro i calabresi è Tridico»\n
      l’incontro

      Cittanova, presentati i progetti per la viabilità e l’edilizia scolastica

      Ad illustrare i finanziamenti il sindaco metropolitano Falcomatà e il padrone di casa Domenico Antico 
      Redazione
      28 novembre 2025
      Ore 15:03
      Cittanova, presentati i progetti per la viabilità e l’edilizia scolastica\n
      1
      2
      3
      4
      5
      6
      7
      8
      9
      ...
      PIÙ LETTI
      1

      Bovalino, sette dipendenti dell’Asp indagati per assenteismo: ricostruito un “sistema” di timbrature illecite

      2
      l’incidente

      Bovalino, giovane cade da un ponte: è in gravi condizioni

      3

      Gli Ospedali di Locri, Melito e Polistena rischiano la paralisi senza il rinnovo del contratto a 40 infermieri, Mammoliti: «Usati come “gratta e vinci”»

      4
      Incontro speciale

      Ero malato e sei venuto a trovarmi: la carezza della Chiesa nella casa di Natale e Chiara

      5
      l’assemblea

      Villa San Giovanni, al via l’ assemblea costitutiva del neonato Rotary Club

      • Chi Siamo
      • Redazione
      Scarica tutte le nostre app!
      LaC Network
      • Footer 1
        • lacplay.it

        • lactv.it

        • laconair.it

      • Reggino Footer 
        • lacitymag.it

        • lacapitalenews.it

        • cosenzachannel.it

        • ilvibonese.it

        • catanzarochannel.it

      ilReggino.it © – La notizia è più vicina

      Direttore Responsabile Claudio Labate

      Direttore Editoriale Maria Grazia Falduto

      www.diemmecom.it

      PrivacyNote legali